高仍网教程:是一个免费提供流行手机教程、在线学习分享的学习平台!

暗黑破坏神3范围伤害机制详细说明

《暗黑破坏神Ⅲ》是暴雪娱乐公司开发的一款动作角色扮演游戏,于2012年5月15日发行。该游戏是《暗黑破坏神2》的续作,游戏故事发生于《暗黑破坏神2》的20年之后一个黑暗的魔幻世界:神圣之殿。《暗黑破坏神3:永恒收藏版》登陆Nintendo Switch平台。

暗黑破坏神3范围伤害是提升总体伤害输出的主词缀之一,范围伤害武器怎么选?下面一起来看看暗黑破坏神3范围伤害机制详解

一、范围伤简介

范围伤(Area Damage = AD) 是提升总体伤害输出最有价值的主词缀之一,然而,也是暗黑3中最复杂和最具困惑性的词缀之一。这份指南旨在解释其核心机制,以便正确理解范围伤概念,减少论坛中一些玩家的理解误区,并举例玩家如何对范围伤词缀进行具体计算评估。

以图一中以太行者为例。

问题:该怎样最优化重洗词缀?1000智力洗范围伤?

遗憾的是,并不能简单给出答案,在了解以下问题之前:是否触发范围伤,范围伤如何作用,以及怪物是如何被操控聚集,以最大化范围伤效果。

举例:

上图散件火蛇法师BD,这是一个完美的例子,可用于解释范围伤的作用机制。


问题:以上2件妖蛇之牙武器应该选哪个?(其他部位已有范围伤150%)


机制:

只有当范围伤触发系数≠ 0时,才可以触发范围伤(同时,基于触发不会二次触发机制 "procs can not proc procs",即范围伤不会二次触发,也不会二次触发其他附加特效)。

九头蛇技能(所有符文)范围伤触发系数均>0。本例中玩家所施放的九头蛇符合触发条件。

而由副手蚀刻符印特效,引导时所触发的九头蛇范围伤触发系数=0,其伤害计算不享受角色范围伤词缀加成。

所以,对于新手玩家一直引导奥术洪流是错误的理解,正确的方式应该是:施放2次九头蛇-->引导15秒触发绝命增伤;引导触发的九头蛇不会覆盖之前的。

简单计算:

首先简化伤害计算场景,设目标怪物总数为20只,基础伤害设为100。

武器A词缀10%ED,武器B词缀为24%范围伤。

令T'=武器A造成的总伤害(命中20只,伤害100*(1+10%)=110,范围伤150%)

T'‘=武器B造成的总伤害(命中20只,伤害100,范围伤150%+24%=174%);

同时命中目标时触发范围伤概率为20%,作用于邻近19只。

那么:

结论:此场景中武器B优于武器A。

额外场景,假设优先击杀目标群中某只精英,AOE技能同时击中目标群:

只计算对单体目标所造成伤害,同上设定;

那么:

T1=D(1)+AD(19)=110+110*1.5*19*20*0.2=12650

T2=D(1)+AD(19)=100+100*1.74*19*20*0.2=13324

通常进度位武器ED和范围伤二选一的话,密度足够的情况下简单计算174/150=1.16超过ED收益,范围伤优先级更高。

二、怪物模型

为了更好的理解范围伤作用机制,把怪物模型定义为以下4种。如图:

a.中心点 Center

暗黑3中所有关于"在X码内"的计算都是指围绕中心点的一个范围,实际上基于三位坐标Pmonster = (x,y,z) 的计算适用在xy平面 (特例:时间延缓, 是一个可见的球体状),忽略z坐标,此时的范围是一个园。

中心点 Pxym定义为怪物命中区域Hitbox的园心点。

b 命中区域 Hit Box

怪物命中区域是判断伤害技能是否生效的一个半径为rH的园,并且是一个基于不同怪物模型rH固定的静态圆形。

不同技能伤害范围,包括矩形如暴风雪、烈焰多头蛇、瓦解射线;三角形如多重射击、火蝠; 和圆形如死亡之握、聚能爆破、旋风斩。

c 碰撞体积Collision Box

碰撞体积是一个三维xyz-meshes且为动态的形态,可以理解为怪物的近似物理体积。两个有实际碰撞体积的怪物是不能成叠加状超过其碰撞体积距离的。

不同怪物模型,碰撞体积可以为圆形、矩形或其他任意形状,并且是可变化的。比如:在装备虚幻长鞋或使用灵魂行走时,此时角色碰撞体积消失了;怪物中也有无碰撞体积的情况,比如兇邪蟲群Vile Swarms,狂怒幽靈Enraged Phantom,和幽影潛伏魔Shade Stalker,这些怪物可以被无限制密度的控制,如蛮子踩踏到一个点上;某些具有穿越移动能力怪物比如Winged Assassins、 Executioners,可短时间内使碰撞体积消失,不会挤到其他具有碰撞体积的单位。

d 范围伤区域 Area Damage Box

范围伤区域为以第一目标中心点起半径为10的圆。

以上几种模型参数参考上表。

存在于完美模型中的碰撞体积和命中区域的投影关系,实际是复杂且难于计算的,这也是有些怪物碰撞体积和命中区域并不是在同一轴线上的原因。

死神侍女Death Maiden是一个典型的碰撞体积比怪物模型和命中区域要大的怪物,如果你玩过奶僧可能印象深刻,鼠标没点她也经常莫名飞出去;冈姆Voracity 则是反过来,碰撞体积很小,你会感觉穿了虚幻长鞋一样。

图例:

图中M1命中区域比M2大很多。当你击中M1时,范围伤无法作用到M2目标;而击中M2时,范围伤可以作用到第二目标M1。

三、密度操作 The Pixelpull

对于放大范围伤效果,显然怪物密度时最重要的。当你命中第一目标时,高密度可以使你的范围伤波及更多的第二目标。

对于第一目标来说,命中区域大小完全不重要,但对第二目标是有用的,更大的命中区域意味着‘更大的区域可有效命中’。对于不同怪物,命中区域大小是固定的。

那么唯一可做的就是,让怪物更高密度的集中,以获得更多的范围伤效果。怪物的碰撞体积就成为一个限制因素。前面提到的那些可以临时取消碰撞体积怪物,对提高密度尤其方便。而玩家有各种主动技能可以触发这些怪物碰撞体积消失。

图a:

上面图中,法师在使用能量气旋配合郎斯洛的愚行护腕后的效果,大面积的怪物被拉拽到一个极小的区域,此时范围伤效果爆炸。并不是所有可造成位移技能都有这个效果,比如武僧的飓风破,可以聚怪但不会触发怪物碰撞体积消失。

以下技能可以对怪物进行聚怪控制:

敏捷系的哥们,很悲剧不在其中。奶僧,DH,说你两呢,辅助酱油位去吧。对于那些高效的高层四人队伍,聚怪提供高密度对于进度期尤其重要。值得注意的是,每次使用聚怪技能会增加怪物的群体控制抗性,无节奏的频繁不当使用,最后可使怪物达到免控状态。

四、范围伤机制 Area Damage Mechanics

这节总结下范围伤的内部机制,击中第一目标触发范围伤,第二目标被范围伤击中。

以下总结几条范围伤的定义:

1.只有范围伤触发系数 ≠ 0 的技能可以触发范围伤;

2.触发范围伤的概率固定为20%;

3.第二目标的击中范围必须与第一目标中心点半径10码的圆相交。第一目标的击中范围与范围伤无关。

4.范围伤是非暴击伤害,伤害界面只会跳出白字;

5.范围伤触发系数为0时,无法获得资源反馈(如击中回复)、叠层效果(如勾玉、受罚宝石)或触发其他特效(如折磨者魅惑特效)。

6.范围伤伤害加成只受施加于第一目标的效果影响。作用于第二目标的debuff无效,如威吓呐喊。

范围伤计算

下面进行完整的范围伤计算。

假设你使用AOE技能比如能量气旋击中t个目标(理想模型:互相都在10码范围内),角色装备y范围伤,能量气旋造成s伤害。

那么每个目标有20%的几率触发范围伤,即造成t*0.2个范围伤,每个范围伤击中t-1目标伤害为y*s。

得到:

回顾开头部分散件蛇法师的2件武器的选择题。再重新比较2把妖蛇之牙:

A.特效300%,10ED,角色其他部位装备依然150%范围伤

B.特效275%,24%范围伤

此时,大部分人会认为多目标时第二把一定优于第一把。

这是不对的。目标数量达到一定临界值时,第二把将超过第一把。这个说法不一定是存在答案的。

分2种情况:

1.第一把永远比第二把好?如果是,结束;

2.否则,目标数量t达到临界值时,第二把好于第一把。

假设:角色装备范围伤d为150%,额外词缀范围伤y为24%。

A武器对第一目标的伤害高于B武器,放大系数x = (4 ÷ 3.75) * 1.1 ≈ 1.1733

那么:比较(x * d) ÷ (d + y) 的值是否大于1,即可以得出第一把是否好于第二把。计算过程参考附件Limit Proof部分。

在不用考虑目标数量的情况下,情况1成立,第一把永远比第二把好,额外收益1.1%。

但是如果我们从情况2开始讨论。

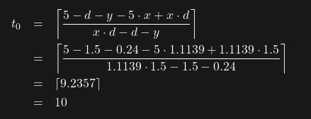
如果(x * d) ÷ (d + y) <1成立,那么存在t0 ∈ N;当目标数量超过t0时,第二把好于第一把。此时再次假设第二把B属性为: 特效295%,24%范围伤,那么此时 x = (4 ÷ 3.95) ? 1.1 ≈ 1.1139。

情况2成立。也就是存在一个 t0 ∈ N,此时第二把将超过第一把。

通过简单计算,参考附件Target Proof部分,得到:

也就是目标数量为10的时候,带范围伤的第二把将超过第一把。单体目标时比如击杀boss时,第一把此时优于第二把,收益x ≈ 1.1139。

选择哪把取决于你,但是对于大秘境,进度阶段有一把好的范围伤武器显然会更好,并且boss阶段还有受罚宝石。


本次分享游戏《暗黑破坏神3》攻略。